Please wait a minute...
Email Alert
Toggle navigation
首页
关于本刊
编委阵容
征稿简则
期刊浏览
最新录用
当期目录
过刊浏览
栏目分类浏览
期刊订阅
人才招聘
联系我们
当期目录
点击下载高清封面
2017年, 第9期 刊出日期:2017-09-20
骨骼肌卫星细胞(Skeletal muscle satellite cells,SMSCs)是一种位于骨骼肌肌纤维的基膜和基底膜之间,具有增殖、分化潜能的单核肌源性干细胞。SMSCs可以通过增殖、分化与融合等过程形成肌管并融合进骨骼肌肌纤维,促使肌纤维增生与肥大。microRNA(miRNA)是一大类长度约22nt左右的内源性单链非编码RNA,其主要通过5¢端的种子序列与靶基因mRNA的3¢UTR结合,导致靶基因的mRNA水平降解或翻译抑制。研究发现zeste增强子同源物2(
enhancer of zeste homologue 2, EZH2
)基因 mR
NA的3'UTR具有miR-101a结合位点,在SMSCs分化过程中,随着miR-101a表达水平的升高,EZH2的表达在mRNA和蛋白水平均下调,miR-101a能通过抑制EZH2的表达来促进山羊SMSCs分化。封面图通过一个循环反应位于山羊的骨骼肌肌纤维之间的SMSCs被激活,通过增殖,分化为肌管然后融合进入骨骼肌肌纤维的过程,在循环内的SMSCs中,miR-101a在细胞核内经过转录加工,被运输到细胞质中,进而被装配进RNP形成RNA诱导沉默复合物(RISC)。RISC通过与
EZH2
mRNA的3'UTR内的种子序列配对结合,从而导致
EZH2
mRNA降解,进而对
EZH2
起负调控作用。总体反应了miR-101a能通过抑制
EZH2
促进山羊SMSCs的分化。详见本期李俊涛和赵薇等“miR-101a靶向
EZH2
促进山羊骨骼肌卫星细胞的分化”一文(第828~836页)。
...[展开]
前沿聚焦
DNA复制研究步入单分子时代
刘晓晶,楼慧强
遗传. 2017, 39 (9): 771-774. doi:
10.16288/j.yczz.17-251
摘要
(
1462
)
HTML
(
473
)
PDF
(310KB) (
2188
)
参考文献
|
相关文章
|
计量指标
综述
高危型HPV DNA整合导致宫颈癌的作用机制和临床检测进展
黄莎莎,郝登再,张岩,刘厚明,单万水
遗传. 2017, 39 (9): 775-783. doi:
10.16288/j.yczz.17-151
摘要
(
2111
)
HTML
(
466
)
PDF
(465KB) (
2566
)
参考文献
|
相关文章
|
计量指标
增强子RNA研究现状
程霄,杨琼,谭镇东,谭娅,蒲红州,赵雪,张顺华,朱砺
遗传. 2017, 39 (9): 784-797. doi:
10.16288/j.yczz.17-010
摘要
(
2942
)
HTML
(
62
)
PDF
(607KB) (
5130
)
参考文献
|
相关文章
|
计量指标
昆虫非遗传多型性研究进展
薛宪词,于黎
遗传. 2017, 39 (9): 798-809. doi:
10.16288/j.yczz.17-009
摘要
(
1891
)
HTML
(
844
)
PDF
(332KB) (
3198
)
参考文献
|
相关文章
|
计量指标
质体基因工程中选择标记基因研究进展
何勇,罗岸,母连胜,陈强,张艳,叶开温,田志宏
遗传. 2017, 39 (9): 810-827. doi:
10.16288/j.yczz.16-433
摘要
(
1878
)
HTML
(
41
)
PDF
(658KB) (
2759
)
参考文献
|
相关文章
|
计量指标
研究报告
miR-101a靶向
EZH2
促进山羊骨骼肌卫星细胞的分化
李俊涛,赵薇,李丹丹,冯静,巴贵,宋天增,张红平
遗传. 2017, 39 (9): 828-836. doi:
10.16288/j.yczz.16-403
摘要
(
1536
)
HTML
(
14
)
PDF
(954KB) (
1743
)
参考文献
|
相关文章
|
计量指标
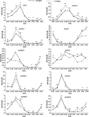
干旱对水稻生物钟基因和干旱胁迫响应基因每日节律性变化的影响
李佳,刘运华,张余,陈晨,余霞,余舜武
遗传. 2017, 39 (9): 837-846. doi:
10.16288/j.yczz.17-113
摘要
(
1372
)
HTML
(
12
)
PDF
(560KB) (
2255
)
参考文献
|
相关文章
|
计量指标
技术与方法
全基因组染色质相互作用Hi-C文库制备的优化及其质量控制
张香媛,何超,叶丙雨,谢德健,师明磊,张彦,沈文龙,李平,赵志虎
遗传. 2017, 39 (9): 847-855. doi:
10.16288/j.yczz.17-152
摘要
(
1873
)
HTML
(
30
)
PDF
(765KB) (
3207
)
参考文献
|
相关文章
|
计量指标
遗传学教学
基于SSLP分子标记验证遗传学三大定律的教学实践探索与体会
黄雪盈,范凯,叶炎芳,汪斌,吴为人,兰涛
遗传. 2017, 39 (9): 856-862. doi:
10.16288/j.yczz.17-192
摘要
(
1689
)
HTML
(
10
)
PDF
(356KB) (
1436
)
参考文献
|
相关文章
|
计量指标
科学新闻
m
6
A甲基化修饰调控造血干细胞命运决定
张春霞, 刘峰
遗传. 2017, 39 (9): 863-864. doi:
10.16288/j.yczz.17.863
摘要
(
999
)
HTML
(
14
)
PDF
(188KB) (
1774
)
数据和表
|
参考文献
|
相关文章
|
计量指标
作者中心
作者投稿查稿系统
作者须知
论文模板
版权转让协议
审稿中心
外审专家审稿
编委审稿
主编审稿
编辑部办公
在线期刊
当期目录
最新录用
过刊浏览
下载排行
引用排行